確率論セミナー(4): 参加メモ

Skype数学勉強会 確率論セミナー
読んでいる本: 確率論 (岩波基礎数学選書) | 伊藤 清 | 本 | Amazon.co.jp
過去ログ: 1回目 | 2回目 | 3回目(進め方の相談)

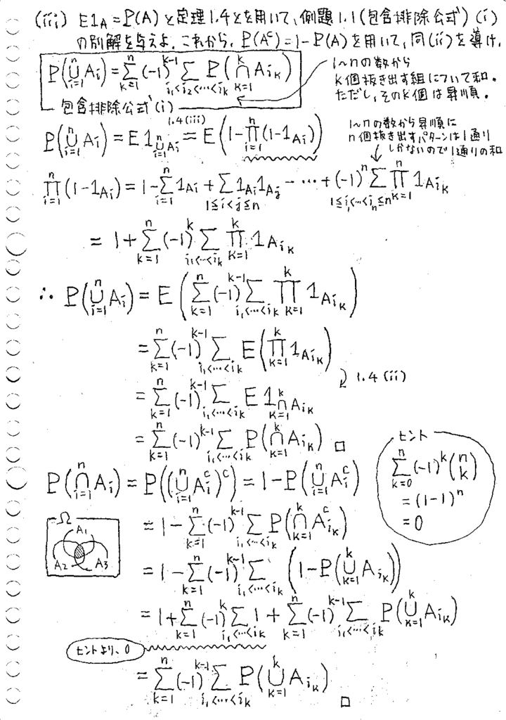
今日読んだ範囲: 7~10ページ
今日は発表担当だった

f:id:cookie-box:20160128234903j:plain:w500

  • 反省
    • 他の人が聞きたいところを雑に、そんなに聞きたくないところを丁寧にやってしまったきらいがある
      普段でも発表をすることがあるので、改めて聞き手が聞きたいことに注意していきたい